Electronics & Communication Gate Yearwise
Electronics and Communication Gate 2016 Set-1 Questions with Answer
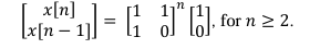
Ques 40 GATE 2016 SET-1
A sequence x[n] is specified as

Ques 41 GATE 2016 SET-1
In the following integral, the contour C encloses the points 2 and -2. The value of the integral is -(1/2π)∮Csin(z)/(z-2πj)3dz
Ques 42 GATE 2016 SET-1
The region specified by {(ฯ,φ,z): 3≤ฯ≤5, π/8≤φ≤π/4, 3≤z≤4.5} in cylindrical coordinates has volume of
Ques 43 GATE 2016 SET-1
Which of the following is CORRECT with respect to grammar and usage?
Mount Everest is _________________.
Ques 44 GATE 2016 SET-1
The policeman asked the victim of a theft, "What did you _____________?"
Ques 45 GATE 2016 SET-1
Despite the new medicine's ___________,in treating diabetes, it is not ___________ widely.
Ques 46 GATE 2016 SET-1
In a huge pile of apples and oranges, both ripe and unripe mixed together, 15% are unripe fruits. Of the unripe fruits, 45% are apples. Of the ripe ones, 66% are oranges. If the pile contains a total of 5692000 fruits, how many of them are apples?
Ques 47 GATE 2016 SET-1
Michael lives 10 km away from where I live. Ahmed lives 5 km away and Susan lives 7 km away from where I live. Arun is farther away than Ahmed but closer than Susan from where I live. From the information provided here, what is one possible distance (in km) at which I live from Arun's place?
Ques 48 GATE 2016 SET-1
A person moving through a tuberculosis prone zone has a 50% probability of becoming infected. However, only 30% of infected people develop the disease. What percentage of people moving through a tuberculosis prone zone remains infected but does not show symptoms of disease?
Ques 49 GATE 2016 SET-1
In a world filled with uncertainty, he was glad to have many good friends. He had always assisted them in times of need and was confident that they would reciprocate. However, the events of the last week proved him wrong. Which of the following inference(s) is/are logically valid and can be inferred from the above passage?
(i) His friends were always asking him to help them.
(ii) He felt that when in need of help, his friends would let him down.
(iii) He was sure that his friends would help him when in need.
(iv) His friends did not help him last week.
Ques 50 GATE 2016 SET-1
Leela is older than her cousin Pavithra. Pavithra's brother Shiva is older than Leela. When Pavithra and Shiva are visiting Leela, all three like to play chess. Pavithra wins more often than Leela does. Which one of the following statements must be TRUE based on the above?
Ques 51 GATE 2016 SET-1
If q-a=1/r, r-b=1/s and s-c=1/q, the value of abc is
Ques 52 GATE 2016 SET-1
P, Q, R and S are working on a project. Q can finish the task in 25 days, working alone for 12 hours a day. R can finish the task in 50 days, working alone for 12 hours per day. Q worked 12 hours a day but took sick leave in the beginning for two days. R worked 18 hours a day on all days. What is the ratio of work done by Q and R after 7 days from the start of the project?
Total Unique Visitors