Electronics & Communication Gate Yearwise
Electronics and Communication Gate 2014 Set-2 Questions with Answer
Ques 1 GATE 2014 SET-2
The diode in the circuit shown has Von = 0.7 Volts but is ideal otherwise. If Vi = 5 sin(ωt)Volts, the minimum and maximum values of Vo (in Volts) are, respectively,

Ques 2 GATE 2014 SET-2
The feedback topology in the amplifier circuit (the base bias circuit is not shown for simplicity) in the figure is

Ques 3 GATE 2014 SET-2
In the differential amplifier shown in the figure, the magnitudes of the common-mode and differential-mode gains are Acm and Ad, respectively. If the resistance RE is increased, then

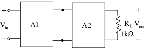
Ques 4 GATE 2014 SET-2
A cascade connection of two voltage amplifiers A1 and A2 is shown in the figure. The open-loop gain Av0, input resistance Rin, and output resistance Ro for A1 and A2 are as follows:
A1: Av0 = 10, Rin = 10 kΩ, Ro = 1 kΩ.
A2: Av0 = 5, Rin = 5 kΩ, Ro = 200 Ω.
The approximate overall voltage gain vout/vin is __________.

Ques 5 GATE 2014 SET-2
The input to a 1-bit quantizer is a random variable X with pdf fX(x) = 2e-2x for x ≥ 0 and fX(x) = 0 for x < 0. For outputs to be of equal probability, the quantizer threshold should be _____.
Ques 6 GATE 2014 SET-2
Coherent orthogonal binary FSK modulation is used to transmit two equiprobable symbol waveforms s1(t) = α cos 2πf1t and s2(t) = α cos 2πf2t, where α = 4 mV. Assume an AWGN channel with two-sided noise power spectral density N0/2 = 0.5 × 10-12 W/Hz. Using an optimal receiver and the relation Q(v) = (1/√(2π)) ∫v∞ e-u2/2 du, the bit error probability for a data rate of 500 kbps is
Ques 7 GATE 2014 SET-2
The power spectral density of a real stationary random process X(t) is given by
SX(f) = (1/W) for |f| ≤ W
SX(f) = 0 for |f| > W.
The value of the expectation E[π X(t) X(t - 1/(4W))] is_________.
Ques 8 GATE 2014 SET-2
In the figure, M(f) is the Fourier transform of the message signal m(t) where A = 100 Hz and B = 40 Hz. Given v(t) = cos(2πfct) and w(t) = cos(2π(fc + A)t), where fc > A. The cutoff frequencies of both the filters are fc. The bandwidth of the signal at the output of the modulator (in Hz) is _____.

Ques 9 GATE 2014 SET-2
The capacity of a band-limited additive white Gaussian noise (AWGN) channel is given by
C = W log2 (1 + P/(σ2W)) bits per second (bps), where W is the channel bandwidth, P is the average power received and σ2 is the one-sided power spectral density of the AWGN.
For a fixed P/σ2 = 1000, the channel capacity (in kbps) with infinite bandwidth (W → ∞) is approximately
Ques 10 GATE 2014 SET-2
Consider sinusoidal modulation in an AM system. Assuming no overmodulation, the modulation index (μ) when the maximum and minimum values of the envelope, respectively, are 3 V and 1 V, is ________.
Ques 11 GATE 2014 SET-2
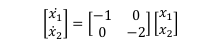
An unforced linear time invariant (LTI) system is represented by

Ques 12 GATE 2014 SET-2
The Bode asymptotic magnitude plot of a minimum phase system is shown in the figure.

Ques 13 GATE 2014 SET-2
Consider the state space system expressed by the signal flow diagram shown in the figure. The corresponding system is

Total Unique Visitors