Electronics & Communication Gate Yearwise
Electronics and Communication Gate 2015 Set-3 Questions with Answer
Ques 53 GATE 2015 SET-3
Ms. X will be in Bagdogra from 01/05/2014 to 20/05/2014 and from 22/05/2014 to 31/05/2014. On the morning of 21/05/2014, she will reach Kochi via Mumbai.
Which one of the statements below is logically valid and can be inferred from the above sentences?
Ques 54 GATE 2015 SET-3
For the circuit shown in the figure, the Thevenin equivalent voltage (in Volts) across terminals a-b is __________.

Ques 55 GATE 2015 SET-3
In the circuit shown, the voltage VX (in Volts) is __________.

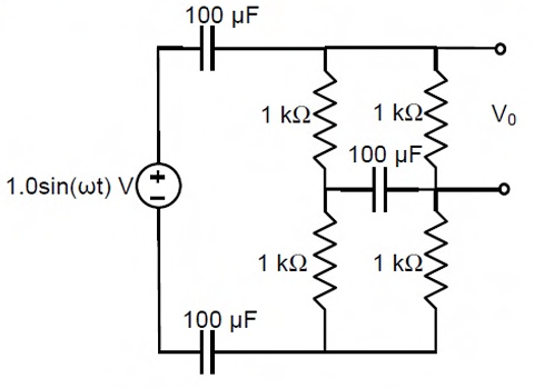
Ques 56 GATE 2015 SET-3
At very high frequencies, the peak output voltage V0 (in Volts) is __________.

Ques 57 GATE 2015 SET-3
In the circuit shown, the current I flowing through the 50 Ω resistor will be zero if the value of capacitor C (in μF) is __________.

Ques 58 GATE 2015 SET-3
The ABCD parameters of the following 2-port network are

Ques 59 GATE 2015 SET-3
Consider the function g(t) = e-tsin(2π t)u(t) where u(t) is the unit step function. The area under g(t) is __________.
Ques 60 GATE 2015 SET-3
The impulse response of an LTI system can be obtained by
Ques 61 GATE 2015 SET-3
Consider a four-point moving average filter defined by the equation y[n] = ∑i=03αi x[n-i]. The condition on the filter coefficients that results in a null at zero frequency is
Ques 62 GATE 2015 SET-3
Suppose x[n] is an absolutely summable discrete-time signal. Its z-transform is a rational function with two poles and two zeroes. The poles are at z = ± 2j. Which one of the following statements is TRUE for the signal x[n]?
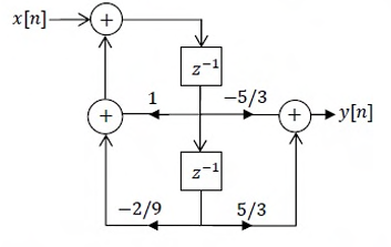
Ques 63 GATE 2015 SET-3
A realization of a stable discrete time system is shown in the figure. If the system is excited by a unit step sequence input x[n], the response y[n] is

Ques 64 GATE 2015 SET-3
Let x̃[n] = 1 + cos(πn/8) be a periodic signal with period 16. Its DFS coefficients are defined by ak = (1/16) ∑n=015 x̃[n] exp(-jπkn/8) for all k. The value of the coefficient a31 is __________.
Ques 65 GATE 2015 SET-3
Consider a continuous-time signal defined as x(t) = [sin(π t/2)/(π t/2)] * ∑n=-∞∞ δ(t-10n) where '*' denotes the convolution operation and t is in seconds. The Nyquist sampling rate (in samples/sec) for x(t) is __________.
Total Unique Visitors