Electronics & Communication Gate Yearwise
Electronics and Communication Gate 2014 Set-4 Questions with Answer
Ques 53 GATE 2014 SET-4
An 8085 microprocessor executes "STA 1234H" with starting address location 1FFEH (STA copies the contents of the Accumulator to the 16-bit address location). While the instruction is fetched and executed, the sequence of values written at the address pins A15 − A8 is
Ques 54 GATE 2014 SET-4
The circuit shown in the figure represents a

Ques 55 GATE 2014 SET-4
The magnitude of current (in mA) through the resistor R2 in the figure shown is_______.

Ques 56 GATE 2014 SET-4
The steady state output of the circuit shown in the figure is given by
y(t) = A(ω)sin(ωt + φ(ω)). If the amplitude |A(ω)| = 0.25, then the frequency ω is

Ques 57 GATE 2014 SET-4
In the circuit shown in the figure, the value of vo(t) (in Volts) for t → ∞ is ______.

Ques 58 GATE 2014 SET-4
The equivalent resistance in the infinite ladder network shown in the figure, is Re.

Ques 59 GATE 2014 SET-4
For the two-port network shown in the figure, the impedance (Z) matrix (in Ω) is

Ques 60 GATE 2014 SET-4
A Fourier transform pair is given by<

Ques 61 GATE 2014 SET-4
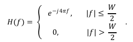
A real-valued signal x(t) limited to the frequency band |f| ≤ W/2 is passed through a linear time invariant system whose frequency response is

Ques 62 GATE 2014 SET-4
The sequence x[n] = 0.5nu[n], where u[n] is the unit step sequence, is convolved with itself to obtain y[n]. Then ∑n=−∞+∞ y[n] is _______.
Ques 63 GATE 2014 SET-4
A stable linear time invariant (LTI) system has a transfer function H(s) = 1/(s2+s−6). To make this system causal it needs to be cascaded with another LTI system having a transfer function H1(s). A correct choice for H1(s) among the following options is
Ques 64 GATE 2014 SET-4
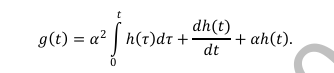
A causal LTI system has zero initial conditions and impulse response h(t). Its input x(t) and output y(t) are related through the linear constant-coefficient differential equation
d2y(t)/dt2 + α(dy(t)/dt) + α2y(t) = x(t).
Let another signal g(t) be defined as

Ques 65 GATE 2014 SET-4
The N-point DFT X of a sequence x[n], 0 ≤ n ≤ N − 1 is given by

Total Unique Visitors