Electronics & Communication Gate Yearwise
Electronics and Communication Gate 2014 Set-4 Questions with Answer
Ques 14 GATE 2014 SET-4
In a Bode magnitude plot, which one of the following slopes would be exhibited at high frequencies by a 4th order all-pole system?
Ques 15 GATE 2014 SET-4
For the second order closed-loop system shown in the figure, the natural frequency (in rad/s) is

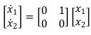
Ques 16 GATE 2014 SET-4
The state transition matrix φ(t) of a system
is
Ques 17 GATE 2014 SET-4
Consider a transfer function Gp(s) = (ps2+3ps−2)/(s2+(3+p)s+(2−p)) with p a positive real parameter. The maximum value of p until which Gp remains stable is ________.
Ques 18 GATE 2014 SET-4
The characteristic equation of a unity negative feedback system is 1 + KG(s) = 0. The open loop transfer function G(s) has one pole at 0 and two poles at -1. The root locus of the system for varying K is shown in the figure. The constant damping ratio line, for ξ=0.5, intersects the root locus at point A. The distance from the origin to point A is given as 0.5. The value of K at point A is ________.

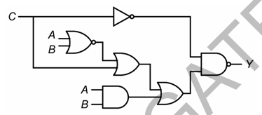
Ques 19 GATE 2014 SET-4
In the circuit shown in the figure, if C = 0, the expression for Y is

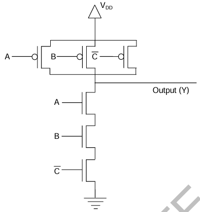
Ques 20 GATE 2014 SET-4
The output (Y) of the circuit shown in the figure is

Ques 21 GATE 2014 SET-4
An 8-to-1 multiplexer is used to implement a logical function Y as shown in the figure. The output Y is given by

Ques 22 GATE 2014 SET-4
A 16-bit ripple carry adder is realized using 16 identical full adders (FA) as shown in the figure. The carry-propagation delay of each FA is 12 ns and the sum-propagation delay of each FA is 15 ns. The worst case delay (in ns) of this 16-bit adder will be __________.

Ques 23 GATE 2014 SET-4
For an antenna radiating in free space, the electric field at a distance of 1 km is found to be 12 mV/m. Given that intrinsic impedance of the free space is 120π Ω, the magnitude of average power density due to this antenna at a distance of 2 km from the antenna (in nW/m2) is ____.
Ques 24 GATE 2014 SET-4
Match column A with column B.
| Column A | Column B |
|---|---|
| 1. Point electromagnetic source | R. Isotropic |
| 2. Dish antenna | P. Highly directional |
| 3. Yagi-Uda antenna | Q. End fire |
Ques 25 GATE 2014 SET-4
The electric field (assumed to be one-dimensional) between two points A and B is shown. Let ψA and ψB be the electrostatic potentials at A and B, respectively. The value of ψB – ψA in Volts is ________.

Ques 26 GATE 2014 SET-4
Given F = ẑa + x̂a + ŷa. If S represents the portion of the sphere x2 + y2 + z2 = 1 for z ≥ 0, then ∫∫S ∇ × F · ds is______________.
Total Unique Visitors