Electronics & Communication Gate Yearwise
Electronics and Communication Gate 2014 Set-3 Questions with Answer
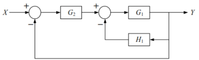
Ques 14 GATE 2014 SET-3
Consider the following block diagram in the figure. The transfer function C(s)/R(s) is

Ques 15 GATE 2014 SET-3
The input −3e2tu(t), where u(t) is the unit step function, is applied to a system with transfer function (s−2)/(s+3). If the initial value of the output is −2, then the value of the output at steady state is _______.
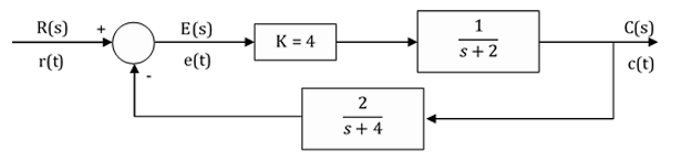
Ques 16 GATE 2014 SET-3
The steady state error of the system shown in the figure for a unit step input is _______.

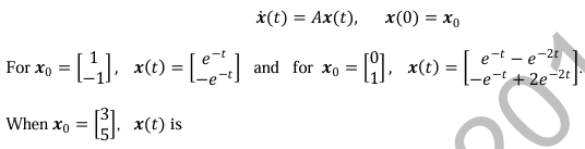
Ques 17 GATE 2014 SET-3
The state equation of a second-order linear system is given by

Ques 18 GATE 2014 SET-3
In the root locus plot shown in the figure, the pole/zero marks and the arrows have been removed. Which one of the following transfer functions has this root locus?

Ques 19 GATE 2014 SET-3
The circuit shown in the figure is a

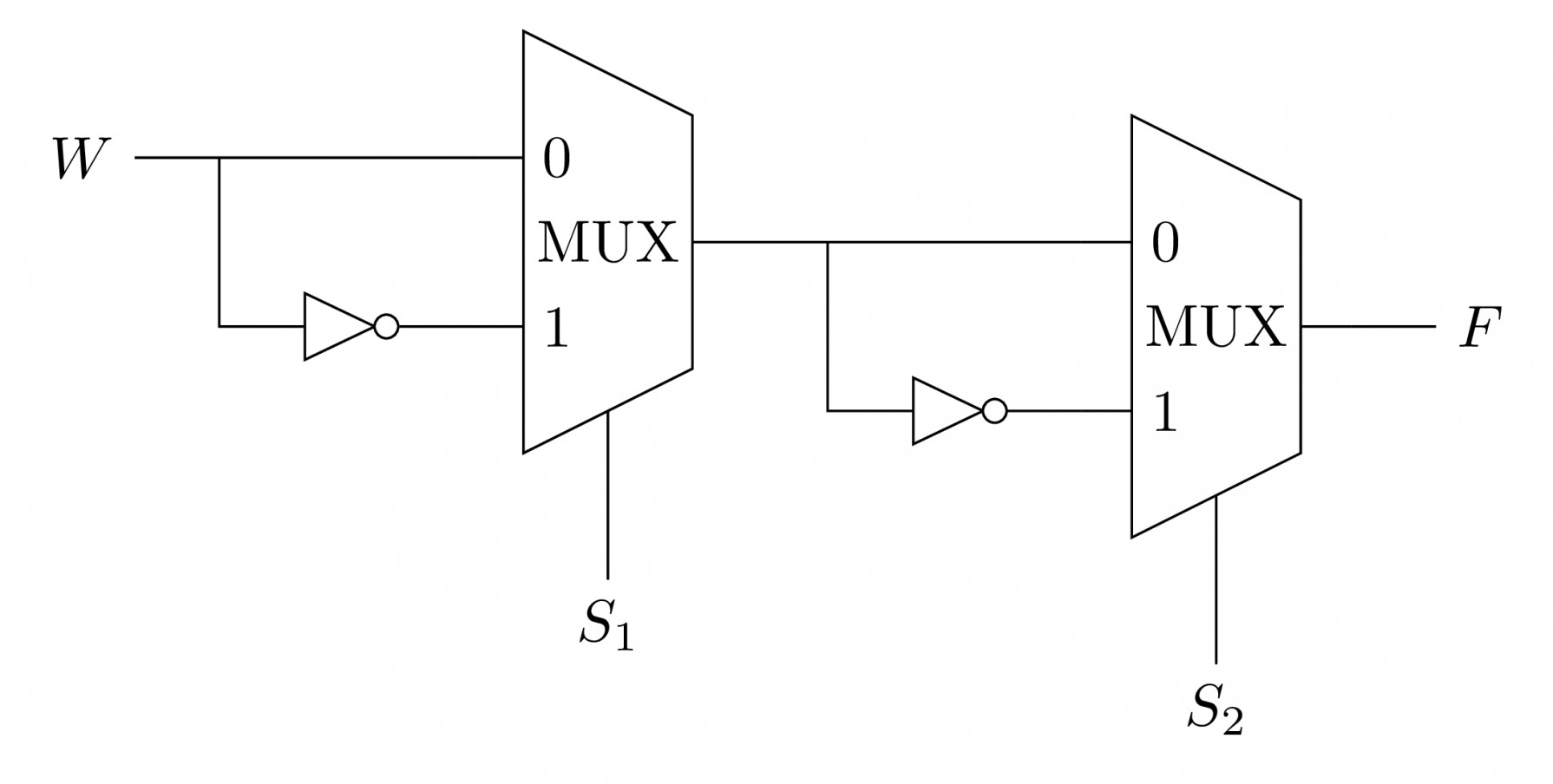
Ques 20 GATE 2014 SET-3
Consider the multiplexer based logic circuit shown in the figure. Which one of the following Boolean functions is realized by the circuit?

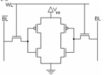
Ques 21 GATE 2014 SET-3
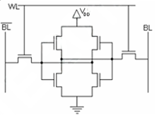
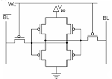
If WL is the Word Line and BL the Bit Line, an SRAM cell is shown in
Ques 22 GATE 2014 SET-3
In the circuit shown, W and Y are MSBs of the control inputs. The output F is given by

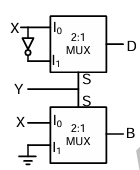
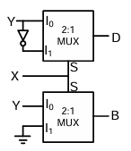
Ques 23 GATE 2014 SET-3
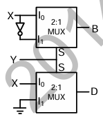
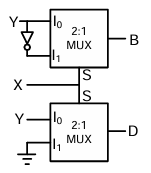
If X and Y are inputs and the Difference (D = X – Y) and the Borrow (B) are the outputs, which one of the following diagrams implements a half-subtractor?
Ques 24 GATE 2014 SET-3
Consider an air filled rectangular waveguide with a cross-section of 5 cm × 3 cm. For this waveguide, the cut-off frequency (in MHz) of TE21 mode is _________.
Ques 25 GATE 2014 SET-3
In the following figure, the transmitter Tx sends a wideband modulated RF signal via a coaxial cable to the receiver Rx. The output impedance ZT of Tx, the characteristic impedance Z0 of the cable and the input impedance ZR of Rx are all real. Which one of the following statements is TRUE about the distortion of the received signal due to impedance mismatch?

Ques 26 GATE 2014 SET-3
Given the vector A = (cos x)(sin y)âx + (sin x)(cos y)ây, where âx, ây denote unit vectors along x, y directions, respectively. The magnitude of curl of A is ________

Total Unique Visitors