Electronics & Communication Gate Yearwise
Electronics and Communication Gate 2014 Set-1 Questions with Answer
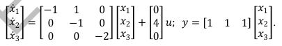
Ques 14 GATE 2014 SET-1
Consider the state space model of a system, as given below. The system is

Ques 15 GATE 2014 SET-1
The phase margin in degrees of G(s) = 10/[(s+0.1)(s+1)(s+10)] calculated using the asymptotic Bode plot is ________.
Ques 16 GATE 2014 SET-1
For the following feedback system G(s) = 1/[(s+1)(s+2)]. The 2%-settling time of the step response is required to be less than 2 seconds. Which one of the following compensators C(s) achieves this?

Ques 17 GATE 2014 SET-1
In the following circuit employing pass transistor logic, all NMOS transistors are identical with a threshold voltage of 1 V. Ignoring the body-effect, the output voltages at P, Q and R are,

Ques 18 GATE 2014 SET-1
The Boolean expression (X + Y) (X + Y̅) + (X Y̅) + X̅ simplifies to
Ques 19 GATE 2014 SET-1
Five JK flip-flops are cascaded to form the circuit shown in Figure. Clock pulses at a frequency of 1 MHz are applied as shown. The frequency (in kHz) of the waveform at Q3 is __________ .

Ques 20 GATE 2014 SET-1
The output F in the digital logic circuit shown in the figure is

Ques 21 GATE 2014 SET-1
Consider the Boolean function, F(w, x, y, z) = wy + xy + w̅xyz + w̅x̅y + xz + x̅y̅z̅. Which one of the following is the complete set of essential prime implicants?
Ques 22 GATE 2014 SET-1
The digital logic shown in the figure satisfies the given state diagram when Q1 is connected to input A of the XOR gate.

Ques 23 GATE 2014 SET-1
The force on a point charge +q kept at a distance d from the surface of an infinite grounded metal plate in a medium of permittivity ε is
Ques 24 GATE 2014 SET-1
In spherical coordinates, let âθ, âφ denote unit vectors along the θ, φ directions. E = (100/r) sin θ cos(ωt - βr) âθ V/m and H = (0.265/r) sin θ cos(ωt - βr) âφ A/m represent the electric and magnetic field components of the EM wave at large distances r from a dipole antenna, in free space. The average power (W) crossing the hemispherical shell located at r = 1km, 0 ≤ θ ≤ π/2 is ________
Ques 25 GATE 2014 SET-1
For a parallel plate transmission line, let v be the speed of propagation and Z be the characteristic impedance. Neglecting fringe effects, a reduction of the spacing between the plates by a factor of two results in
Ques 26 GATE 2014 SET-1
The input impedance of a λ/8 section of a lossless transmission line of characteristic impedance 50 Ω is found to be real when the other end is terminated by a load ZL = (R + jX) Ω. If X is 30Ω, the value of R (in Ω) is _______
Total Unique Visitors