Aerospace Engineering Gate Yearwise
Aerospace Gate 2024
Aerospace Gate 2023
Aerospace Gate 2022
Aerospace Gate 2021
Aerospace Gate 2020
Aerospace Gate 2019
Aerospace Gate 2018
Aerospace Gate 2017
Aerospace Gate 2016
Aerospace Gate 2015
Aerospace Gate 2014
Aerospace Gate 2013
Aerospace Gate 2012
Aerospace Gate 2011
Aerospace Gate 2010
Aerospace Gate 2009
Aerospace Engineering Gate 2021 Questions with Answer
Ques 27 GATE 2021
A free vortex filament (oriented along the Z-axis) of strength K = 5 m2/s is placed at the origin as shown in the figure. The circulation around the closed loop ABCDEFA for this flow is _______.

Ques 28 GATE 2021
The figure shows a schematic of a set-up for visualization of the non-uniform density field in the test section of a supersonic wind tunnel. This technique of visualization of high-speed flows is known as: _______.

Ques 29 GATE 2021
A shock moving into a stationary gas can be transformed to a stationary shock by a change in reference frame, as shown in the figure. Which of the following is/are true relating the flow properties in the two reference frames?

Ques 30 GATE 2021
A large water tank is fixed on a cart with wheels and a vane (see figure). The wheels of the cart provide negligible resistance for rolling on the fixed support. The cart is tied to the fixed support with a thin horizontal rope. There is a hole of diameter 5 cm on the side of the tank through which a jet of constant velocity of 10 m/s emerges. The jet of water is deflected by the attached vane by 60° (see figure). Assume that the jet velocity remains constant at 10 m/s after emerging from the vane. Take the density of water to be 1000 kg/m3. The tension in the connecting rope is _______ N. (round off to one decimal place)

Ques 31 GATE 2021
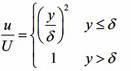
Consider a model of a boundary layer with the following velocity profile:

Ques 32 GATE 2021
For the state of stress as shown in the figure, what is the orientation of the plane with maximum shear stress with respect to the X-axis?

Ques 33 GATE 2021
Let V_TAS be the true airspeed of an aircraft flying at a certain altitude where the density of air is ρ, and V_EAS be the equivalent airspeed. If ρ_0 is the density of air at sea-level, what is the ratio V_TAS/V_EAS equal to?
Ques 34 GATE 2021
C_m - α variation for a certain aircraft is shown in the figure. Which one of the following statements is true for this aircraft?

Ques 35 GATE 2021
(i) Arun and Aparna are here.
(ii) Arun and Aparna is here.
(iii) Arun's families is here.
(iv) Arun's family is here.
Which of the above sentences are grammatically CORRECT?
Ques 36 GATE 2021

Ques 37 GATE 2021
Two identical cube-shaped dice each with faces numbered 1 to 6 are rolled simultaneously. The probability that an even number is rolled out on each dice is: _______.
Ques 38 GATE 2021
⊕ and ⊙ are two operators on numbers p and q such that
p ⊙ q = p - q, and p ⊕ q = p x q.
Then, (9 ⊙ (6 ⊕ 7)) ⊙ (7 ⊕ (6 ⊙ 5)) = _______.
Ques 39 GATE 2021
Four persons P, Q, R, and S are to be seated in a row. R should not be seated at the second position from the left end of the row. The number of distinct seating arrangements possible is: _______.
Total Unique Visitors