Aerospace Engineering Gate Yearwise
Aerospace Gate 2024
Aerospace Gate 2023
Aerospace Gate 2022
Aerospace Gate 2021
Aerospace Gate 2020
Aerospace Gate 2019
Aerospace Gate 2018
Aerospace Gate 2017
Aerospace Gate 2016
Aerospace Gate 2015
Aerospace Gate 2014
Aerospace Gate 2013
Aerospace Gate 2012
Aerospace Gate 2011
Aerospace Gate 2010
Aerospace Gate 2009
Aerospace Engineering GATE 2023 Questions with Answer
Ques 1 Aerodynamics
The figures shown in the options are schematics of airfoil shapes (not to scale). For a civilian transport aircraft designed for a cruise Mach number of 0.8, which among them is aerodynamically best suited as a wing section?
Ques 2 Aerodynamics
Consider the International Standard Atmosphere (ISA) with h being the geopotential altitude (in km) and dT/dh being the temperature gradient (in K/m). Which of the following combination(s) of (h, dT/dh) is/are as per ISA?
Ques 3 Aerodynamics
For an airfoil, which of the relations given about the critical Mach number Mcr and drag divergence Mach number Mdd is/are correct?
Ques 4 Aerodynamics
A thin cambered airfoil has lift coefficient cl = 0 at an angle of attack α = -1.1°. Assuming that stall occurs at much larger α, the cl at α = 4° is _______. (round off to two decimal places)
1 is the correct answer.
Ques 5 Aircraft Propulsion
In a single-spool aviation turbojet engine, which of the following is the correct relationship between the total work output WT of a 2-stage axial turbine and the total work required Wc by a 6-stage axial compressor, neglecting losses?
Ques 6 Aircraft Propulsion
For a stage of a 50% reaction ideal axial flow compressor (symmetrical blading), select the correct statement from the options given.
Ques 7 Aircraft Propulsion
An aircraft is cruising with a forward speed Va and the jet exhaust speed relative to the engine at the exit is Vj. If Vj/Va = 2, what is the propulsive efficiency?
Ques 8 Aircraft Propulsion
From the options given, select all that are true for turbofan engines with afterburners.
Ques 9 Aircraft Propulsion
A supersonic vehicle powered by a ramjet engine is cruising at a speed of 1000 m/s. The ramjet engine burns hydrogen in a subsonic combustor to produce thrust. The heat of combustion for hydrogen is 120 MJ/kg. The overall efficiency of the engine ηo, defined as the ratio of propulsive power to the total heat release in the combustor, is 40%. Taking acceleration due to gravity g0 = 10 m/s2, the specific impulse of the engine is _______ seconds. (round off to the nearest integer)
1 is the correct answer.
Ques 10 Aircraft Propulsion
Two missiles A and B powered by solid rocket motors have identical specific impulse, liftoff mass of 5600 kg each, and burn durations of tA = 30 s and tB = 70 s respectively. The propellant mass flow rates, ṁA and ṁB for missiles A and B, respectively, are given by ṁA = 120 kg/s, 0 ≤ t ≤ 30 and ṁB = 70 kg/s, 0 ≤ t ≤ 70. Neglecting gravity and aerodynamic forces, the relationship between the final velocities VA and VB of missiles A and B, respectively, is given by
Ques 11 Aircraft Propulsion
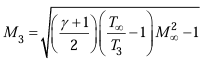
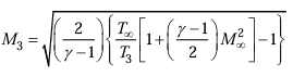
A scramjet engine features an intake, isolator, combustor, and a nozzle, as shown in the schematic. Station 3 indicates the combustor entry point. Assume stagnation enthalpy to be constant between Stations 1 and 3, and air to be a calorically perfect gas with specific heat ratio γ. Select the correct expression for Mach number M3 at the inlet to the combustor from the options given.

Ques 12 Aircraft Propulsion
A gas turbine combustor is burning methane and air at an equivalence ratio φ = (F/A)/(F/A)stoich, where φ = 0.5 and (F/A)stoich is the ratio of the mass flow rate of fuel to the mass flow rate of air at stoichiometry. If the air flow rate is ṁair = 20 kg/s, then the mass flow rate of methane is _______ kg/s. (round off to two decimal places)
1 is the correct answer.
Ques 13 Aircraft Propulsion
A centrifugal air compressor has an inlet root diameter of 0.25 m and the outlet diameter of the impeller is 0.6 m. The pressure ratio is 5.0. The air at the inlet of the rotor is at 1 atm and 25 °C. The polytropic efficiency is 0.8 and the slip factor is 0.92. Use Cp = 1.004 kJ/kg-K and γ = 1.4. The impeller speed in revolutions per minute (RPM) is _______. (round off to the nearest integer)
1 is the correct answer.

Total Unique Visitors