Aerospace Engineering Gate Yearwise
Aerospace Gate 2024
Aerospace Gate 2023
Aerospace Gate 2022
Aerospace Gate 2021
Aerospace Gate 2020
Aerospace Gate 2019
Aerospace Gate 2018
Aerospace Gate 2017
Aerospace Gate 2016
Aerospace Gate 2015
Aerospace Gate 2014
Aerospace Gate 2013
Aerospace Gate 2012
Aerospace Gate 2011
Aerospace Gate 2010
Aerospace Gate 2009
Aerospace Engineering Gate 2019 Questions with Answer
Ques 14 GATE 2019
A scalar function is given by f(x, y) = x2 + y2. Take î and ĵ as unit vectors along the x and y axes, respectively. At (x, y) = (3, 4) the direction along which f increases the fastest is _______.
Ques 15 GATE 2019
A function f(x) is defined by f(x) = (1/2)(x + |x|). The value of

Ques 16 GATE 2019
The value of the following limit is _______ (round off to 2 decimal places).

Ques 17 GATE 2019
When a propeller airplane in ground-roll during take-off experiences headwind, which of the following statements is FALSE?
Ques 18 GATE 2019
Which of the following graphs represents the response of a dynamically unstable airplane?
Ques 19 GATE 2019
The airplane shown in the figure starts executing a symmetric pull-up maneuver from steady level attitude with a constant nose-up pitch acceleration of 20 deg/s2. The vertical load factor measured at this instant at the center of gravity (CG) is 2. Given that the acceleration due to gravity is 9.81 m/s2, the vertical load factor measured at point P on the nose of the airplane, which is 2 m ahead of the CG, is _______ (round off to 2 decimal places).

Ques 20 GATE 2019
The design of an airplane is modified to increase the vertical tail area by 20% and decrease the moment arm from the aerodynamic centre of the vertical tail to the airplane centre of gravity by 20%. Assuming all other factors remain unchanged, the ratio of the modified to the original directional static stability (C_N_β due to tail fin) is _______ (round off to 2 decimal places).
Ques 21 GATE 2019
The dimensions of kinematic viscosity of a fluid (where L is length, T is time) are _______.
Ques 22 GATE 2019
φ(x, y) represents the velocity potential of a two-dimensional flow with velocity field V⃗ = u(x, y)î + v(x, y)ĵ, where î and ĵ are unit vectors along the x and y axes, respectively. Which of the following is necessarily true?
Ques 23 GATE 2019
For a quasi-one-dimensional isentropic supersonic flow through a diverging duct, which of the following is true in the direction of the flow?
Ques 24 GATE 2019
A two-dimensional, incompressible fluid flow is described by the stream function Ψ = xy3 m2/s on the Cartesian x-y plane. If the density and dynamic viscosity of the fluid are 1 kg/m3 and 0.1 kg/m-s, respectively, the magnitude of the pressure gradient in the x-direction at x = 1 m and y = 1 m is _______ N/m3 (round off to 1 decimal place).
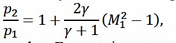
Ques 25 GATE 2019
The static pressure ratio across a stationary normal shock is given by

Ques 26 GATE 2019
The fishermen, _______ the flood victims owed their lives, were rewarded by the government.
Total Unique Visitors