Aerospace Engineering Gate Yearwise
Aerospace Gate 2024
Aerospace Gate 2023
Aerospace Gate 2022
Aerospace Gate 2021
Aerospace Gate 2020
Aerospace Gate 2019
Aerospace Gate 2018
Aerospace Gate 2017
Aerospace Gate 2016
Aerospace Gate 2015
Aerospace Gate 2014
Aerospace Gate 2013
Aerospace Gate 2012
Aerospace Gate 2011
Aerospace Gate 2010
Aerospace Gate 2009
Aerospace Engineering Gate 2017 Questions with Answer
Ques 27 GATE 2017
An aircraft wing is idealized as a cantilever beam of constant width and length I with a tip mass of weight W (Newtons) and has a uniformly distributed loading of qo (Newtons/m) as shown in the figure. Flexural rigidity =EI and qo l=10 W.

δ=k Wl3/EI
The value of k is _______ (in three decimal places).
Ques 28 GATE 2017
For the state of plane stress shown in the figure, the minimum principal stress is -7 MN/m2 The normal stress σx in MN/m2 is equal to _______ (round to nearest integer).

Ques 29 GATE 2017
The maximum normal stress in MN/m2 for the thin walled beam of square cross section of outer dimension 120 mm x 120 mm and wall thickness 1 mm under the action of moment M0=96 Nm as shown in the figure is _______ (in three decimal places).

Ques 30 GATE 2017
The idealized cross section of a thin-walled wing box structure shown in the figure is subjected to an anticlockwise torque of 10 kNm. The corresponding shear-flow distribution under this loading condition is shown in the figure. The area of each cell is A1=300x103mm2 and A2=250x103mm2.

Ques 31 GATE 2017
A trace from the schlieren photograph of the flow around a corner reveals the edges of the expansion fan as shown below. The leading and trailing edges of the expansion fan make the angles as shown. Assuming γ=1.4 the angle of the expansion fan (in degrees) is _______ (in two decimal places)
Prandtl Meyer function is given by
ν(M)=√(γ+1/γ-1)tan-1√((γ-1)/(γ+1)(M2-1))-tan-1√(M2-1)

Ques 32 GATE 2017
A strong normal shock wave, with a pressure ratio of 29 across it, is travelling into stationary air (γ=1.4) at T=280 K in a straight duct (see figure). The magnitude of the velocity of the air induced behind the shock wave is _______ m/s. (round to nearest integer)
(Gas constant =287 J/kg.K Shock wave relations:
Pressure ratio: p2/p1=1+(2γ/(γ+1))(M2-1); Density ratio: ρ2/ρ1=((y+1)M2)/((y-1)M2+2)

Ques 33 GATE 2017
Given the vectors
and →v2 is given by:
→v1 = ℔ + 3∗ĵ
→v2 = 2℔ - 4∗ĵ + 3k̂,
the vector →v3 that is perpendicular to both →v1 and →v2 is given by:
Ques 34 GATE 2017
The value of the integral I = ∫C((x-y)dx+x2dy) with C the boundary of the square 0≤x≤2; 0≤y≤2, is
Ques 35 GATE 2017
Let →v(t) be a unit vector that is a function of the parameter t.
Then →v ⋅ d→v/dt =
Ques 36 GATE 2017
The eigenvalues λn and eigenfunctions un(x) of the Sturm-Liouville problem d2y/dx2 + k2λy=0 , 0
Ques 37 GATE 2017
3-point Gaussian integration formula is given by:
∫-11f(x)dx ≈ ∑j=13Ajf(xj) with x1=0, x2=-x3=-√(3/5); A1=8/9 A2=A3=5/9
This formula exactly integrates
Ques 38 GATE 2017
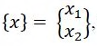
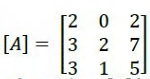
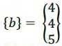
Matrix
and vector
are given. If vector {x} is the solution to the system of equations [A]{x}={b}, which of the following is true for {x}:
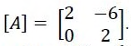
Ques 39 GATE 2017
Let matrix
. Then for any non-trivial vector
. which of the following is true for the value of K={x}T[A]{x}
Total Unique Visitors