Chemical Engineering Gate Yearwise
Chemical Eng. Gate 2024
Chemical Eng. Gate 2023
Chemical Eng. Gate 2022
Chemical Eng. Gate 2021
Chemical Eng. Gate 2020
Chemical Eng. Gate 2019
Chemical Eng. Gate 2018
Chemical Eng. Gate 2017
Chemical Eng. Gate 2016
Chemical Eng. Gate 2015
Chemical Eng. Gate 2014
Chemical Eng. Gate 2013
Chemical Eng. Gate 2012
Chemical Eng. Gate 2011
Chemical Eng. Gate 2010
Chemical Engineering Gate 2022 Questions with Answer
Ques 27 GATE 2022
Consider the tank level control system shown in the figure, where the cross-sectional area of the tank is A. Assume perfect flow controllers (FC). The level controller (LC) is proportional-integral (PI). For an integral time, τ, the level controller gain, KI, is tuned for critical damping. The value of KI is ________ (rounded off to the nearest integer).

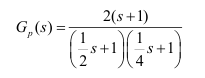
Ques 28 GATE 2022
Consider a single-input-single-output (SISO) system with the transfer function

Ques 29 GATE 2022
Information for a proposed greenfield project is provided in the table. The discounted cash flow

Ques 30 Gate 2022
Consider turbulent flow in a pipe under isothermal conditions. Let r denote the radial coordinate and z denote the axial flow direction. On moving away from the wall towards the center of the pipe, the rz-component of the Reynolds stress
Ques 31 Gate 2022
Consider two stationary spherical pure water droplets of diameters d1 and 2d1. CO2 diffuses into the droplets from the surroundings. If the rate of diffusion of CO2 into the smaller droplet is W1 mol s-1, the rate of diffusion of CO2 into the larger droplet is
Ques 32 GATE 2022
Consider turbulent flow in a pipe under isothermal conditions. Let r denote the radial coordinate and z denote the axial flow direction. On moving away from the wall towards the center of the pipe, the rz-component of the Reynolds stress
Ques 33 GATE 2022
In a constant-rate cake filtration operation, the collected filtrate volumes are 120 m3 and 240 m3 at 1 min and 2 min, respectively.
Assume the cake resistance to be constant and the filter medium resistance to be negligible.
If the pressure-drop across the cake is 10 kPa at 1 min, its value at 2 min is _________ kPa (rounded off to the nearest integer).
Ques 34 GATE 2022
A cylindrical fin of diameter 24 mm is attached horizontally to a vertical planar wall. The heat transfer rate from the fin to the surrounding air is 60% of the heat transfer rate if the entire fin were at the wall temperature. If the fin effectiveness is 10, its length is ___________ mm (rounded off to the nearest integer).
Ques 35 GATE 2022
Inhaling the smoke from a burning _________ could _________ you quickly.
Ques 36 GATE 2022
A sphere of radius 𝑟 cm is packed in a box of cubical shape. What should be the minimum volume (in cm3 ) of the box that can enclose the sphere?
Ques 37 GATE 2022
Pipes P and Q can fill a storage tank in full with water in 10 and 6 minutes, respectively. Pipe R draws the water out from the storage tank at a rate of 34 litres per minute. P, Q and R operate at a constant rate. If it takes one hour to completely empty a full storage tank with all the pipes operating simultaneously, what is the capacity of the storage tank (in litres)?
Ques 38 GATE 2022
Six persons P, Q, R, S, T and U are sitting around a circular table facing the center not necessarily in the same order. Consider the following statements:
- P sits next to S and T.
- Q sits diametrically opposite to P.
- The shortest distance between S and R is equal to the shortest distance between T and U.
Ques 39 GATE 2022
A building has several rooms and doors as shown in the top view of the building given below. The doors are closed initially. What is the minimum number of doors that need to be opened in order to go from the point P to the point Q?

Total Unique Visitors