Chemical Engineering Gate Yearwise
Chemical Eng. Gate 2024
Chemical Eng. Gate 2023
Chemical Eng. Gate 2022
Chemical Eng. Gate 2021
Chemical Eng. Gate 2020
Chemical Eng. Gate 2019
Chemical Eng. Gate 2018
Chemical Eng. Gate 2017
Chemical Eng. Gate 2016
Chemical Eng. Gate 2015
Chemical Eng. Gate 2014
Chemical Eng. Gate 2013
Chemical Eng. Gate 2012
Chemical Eng. Gate 2011
Chemical Eng. Gate 2010
Chemical Engineering Gate 2020 Questions with Answer
Ques 40 GATE 2020
P, Q, R S, T U, V, and W are seated around a circular table.
I. S is seated opposite to W.
II. U is seated at the second place to the right of R.
III. T is seated at the third place to the left of R.
IV. V is a neighbour of S.
Which of the following must be true?
Ques 41 GATE 2020
The distance between Delhi and Agra is 233 km. A car P started travelling from Delhi to Agra and another car Q started from Agra to Delhi along the same road 1 hour after the car P started. The two cars crossed each other 75 minutes after the car started. Both cars were travelling at constant speed. The speed of car P was 10 km/hr more than the speed of car Q. How many kilometers the car Q had travelled when the cars crossed each other?
Ques 42 GATE 2020
For a matrix M=[mij]; i,j=1,2,3,4, the diagonal elements are all zero and mij=-mji.
The minimum number of elements required to fully specify the matrix is
Ques 43 GATE 2020
The profit shares of two companies P and Q are shown in the figure.
If the two companies have invested a fixed and equal amount every year, then the ratio of the total revenue of company P to the total revenue of company Q, during 2013-2018 is

Ques 44 GATE 2020
A fluid is heated from 40°C to 60°C in a countercurrent, double pipe heat exchanger. Hot fluid enters at 100°C and exits at 70°C. The log mean temperature difference, i.e. LMTD (in °C), is _______ (round off to 2 decimal places).
Ques 45 GATE 2020
Consider an infinitely long rectangular fin exposed to a surrounding fluid at a constant temperature Ta=27°C.

Ques 46 GATE 2020
Ratio of momentum diffusivity to thermal diffusivity is
Ques 47 GATE 2020
Leidenfrost phenomenon refers to
Ques 48 GATE 2020
A hollow cylinder of equal length and inner diameter (i.e., L=D) is sealed at both ends with flat plate, as shown in the figure. Its inner surfaces, A1, A2, and A3 radiate energy.

Ques 49 GATE 2020
Flow of water through an equal percentage valve is 900 liter h-1 at 30% opening, and 1080 liter h-1 at 35% opening. Assume that the pressure drop across the valve remains constant. The flow rate (in liter h-1) through the valve at 45% opening is _______ (round off to nearest integer).
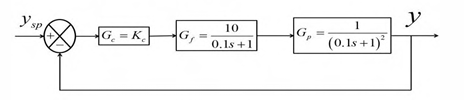
Ques 50 GATE 2020
Consider the following closed loop system.

Ques 51 GATE 2020
Hot-wire anemometer is used for the measurement of
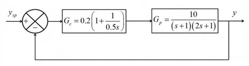
Ques 52 GATE 2020
Consider the following closed loop system with Gp and Gc as the transfer functions of the process and the controller, respectively.

Total Unique Visitors