Chemical Engineering Gate Yearwise
Chemical Eng. Gate 2024
Chemical Eng. Gate 2023
Chemical Eng. Gate 2022
Chemical Eng. Gate 2021
Chemical Eng. Gate 2020
Chemical Eng. Gate 2019
Chemical Eng. Gate 2018
Chemical Eng. Gate 2017
Chemical Eng. Gate 2016
Chemical Eng. Gate 2015
Chemical Eng. Gate 2014
Chemical Eng. Gate 2013
Chemical Eng. Gate 2012
Chemical Eng. Gate 2011
Chemical Eng. Gate 2010
Chemical Engineering Gate 2020 Questions with Answer
Ques 27 GATE 2020
The maximum value of the function f(x)=-5/3 x3+10x2-15x+16 in the interval (0.5,3.5) is
Ques 28 GATE 2020
Liquid water is pumped at a volumetric flow rate of 0.02 m3s-1 from Tank I to Tank II, as shown in the figure.

• Density of water is 1000 kg m-3
• Acceleration due to gravity is 9.81 m s-2
• Efficiency of the pump is 100%
• The liquid surfaces in the tanks have negligible velocities
The power supplied (in W) by the pump to lift the water is _______ (round off to 1 decimal place).
Ques 29 GATE 2020
A vertically held packed bed has a height of 1 m, and a void fraction of 0.1. when there is no flow through the bed. The incipient (minimum) fluidization is set in by injection of a fluid of density 1 kg m-3. The particle density (ρp) of the solids is 3000 kg m-3. Acceleration due to gravity is 9.81 m s-2. The pressure drop (in Pa) across the height of the bed is _______ (round off to nearest integer).
Ques 30 GATE 2020
Consider an incompressible flow of a constant property fluid over a smooth, thin and wide flat plate. The free stream flows parallel to the surface of the plate along its length and its velocity is constant. Value of the Reynolds number at a distance of 2.0 m from the leading edge of the plate is 8000. The flow within the boundary layer at a distance of 1.0 m from the leading edge of the plate is
Ques 31 GATE 2020
Consider steady, laminar, fully developed flow of an incompressible Newtonian fluid through two horizontal straight pipes, I and II, of circular cross section. The volumetric flow rates in both the pipes are the same. The diameter of pipe II is twice the diameter of pipe I, i.e., dII=2dI. The ratio of the shear stress at the wall of pipe I to the shear stress at the wall of pipe II is
Ques 32 GATE 2020
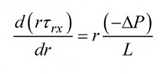
A student performs a flow experiment with Bingham Plastic under fully developed laminar flow conditions in a tube of radius 0.01 m with a pressure drop (ΔP) of 10 kPa over tube length (L) of 1.0 m. The velocity profile is flat for r

Ques 33 GATE 2020
A U-tube manometer contains two manometric fluids of densities 1000 kg m-3 and 600 kg m-3. When both the limbs are open to atmosphere, the difference between the two levels is 10 cm at equilibrium, as shown in the figure.

Ques 34 GATE 2020
Rajiv Gandhi Khel Ratna Award was conferred _______ Mary Kom, a six-time world champion in boxing, recently in a ceremony _______ the Rashtrapati Bhawan (the President's official residence) in New Delhi.
Ques 35 GATE 2020
Despite a string of poor performances, the chances of K. L. Rahul's selection in the team are _______
Ques 36 GATE 2020
Select the word that fits the analogy:
Cover: Uncover :: Associate: _______
Ques 37 GATE 2020
Hit by floods, the kharif (summer sown) crops in various parts of the country have been affected. Officials believe that the loss in production of the kharif crops can be recovered in the output of the rabi (winter sown) crops so that the country can achieve its food-grain production target of 291 million tons in the crop year 2019-20 (July-June). They are hopeful that good rains in July-August will help the soil retain moisture for a longer period, helping winter sown crops such as wheat and pulses during the November-February period.
Which of the following statements can be inferred from the given passage?
Ques 38 GATE 2020
The difference between the sum of the first 2n natural numbers and the sum of the first n odd natural numbers is
Ques 39 GATE 2020
Repo rate is the rate at which Reserve Bank of India (RBI) lends commercial banks, and reverse repo rate is the rate at which RBI borrows money from commercial banks.
Which of the following statements can be inferred from the above passage?
Total Unique Visitors