Chemical Engineering Gate Yearwise
Chemical Eng. Gate 2024
Chemical Eng. Gate 2023
Chemical Eng. Gate 2022
Chemical Eng. Gate 2021
Chemical Eng. Gate 2020
Chemical Eng. Gate 2019
Chemical Eng. Gate 2018
Chemical Eng. Gate 2017
Chemical Eng. Gate 2016
Chemical Eng. Gate 2015
Chemical Eng. Gate 2014
Chemical Eng. Gate 2013
Chemical Eng. Gate 2012
Chemical Eng. Gate 2011
Chemical Eng. Gate 2010
Chemical Engineering Gate 2017 Questions with Answer
Ques 40 GATE 2017
In a heat exchanger, the inner diameter of a tube is 25 mm and its outer diameter is 30 mm. The overall heat transfer coefficient based on the inner area is 360 W/m2 °C. Then, the overall heat transfer coefficient based on the outer area, rounded to the nearest integer, is
Ques 41 GATE 2017
Let Ibλ be the spectral blackbody radiation intensity per unit wavelength about the wavelength λ. The blackbody radiation intensity emitted by a blackbody over all wavelengths is
Ques 42 GATE 2017
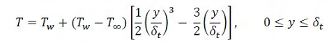
A fluid flows over a heated horizontal plate maintained at temperature Tw. The bulk temperature of the fluid is T∞. The temperature profile in the thermal boundary layer is given by:

Ques 43 GATE 2017
In nucleate boiling, the pressure inside a bubble is higher than the pressure of the surrounding liquid. Assuming that both the liquid and vapour are saturated, the temperature of the liquid will ALWAYS be
Ques 44 GATE 2017
Which of the following conditions are valid at the plait point?
P) Density difference between the extract and raffinate phases is zero
Q) Interfacial tension between the extract and raffinate phases is zero
R) Composition difference between the extract and raffinate phases is zero
Ques 45 GATE 2017
The composition of vapour entering a tray in a distillation column is 0.47. The average composition of the vapour leaving the tray is 0.53. The equilibrium composition of the vapour corresponding to the liquid leaving this tray is 0.52. All the compositions are expressed in mole fraction of the more volatile component. The Murphree efficiency based on the vapour phase, rounded to the nearest integer, is
Ques 46 GATE 2017
Consider steady state mass transfer of a solute A from a gas phase to a liquid phase. The gas phase bulk and interface mole fractions are yA,G and yA,i, respectively. The liquid phase bulk and interface mole fractions are xA,L and xA,i, respectively. The ratio (xA,i - xA,L) / (yA,G - yA,i) is very close to zero. This implies that mass transfer resistance is
Ques 47 GATE 2017
The vapor phase composition and relative volatilities (with respect to n-propane) on an ideal tray of a distillation column are Component Mole fraction in vapour Relative volatility

Ques 48 GATE 2017
The Sherwood number (ShL) correlation for laminar flow over a flat plate of length L is given by ShL = 0.664 ReL0.5 Sc1/3 where ReL and Sc represent Reynolds number and Schmidt number, respectively. This correlation, expressed in the form of Chilton-Colburn jD factor, is
Ques 49 GATE 2017
In a countercurrent stripping operation using pure steam, the mole ratio of a solute in the liquid stream is reduced from 0.25 to 0.05. The liquid feed flowrate, on a solute-free basis, is 3 mol/s. The equilibrium line for the system is given in the figure below. The MINIMUM flowrate of pure steam for this process, rounded to 1 decimal place, is

Ques 50 GATE 2017
In a batch adsorption process, 5 g of fresh adsorbent is used to treat 1 liter of an aqueous phenol solution. The initial phenol concentration is 100 mg/liter. The equilibrium relation is given by q* = 1.3C where q* is the amount of phenol adsorbed in mg of phenol per gram of adsorbent; and C is the concentration of phenol in mg/liter in the aqueous solution. When equilibrium is attained between the adsorbent and the solution, the concentration of phenol in the solution, rounded to 1 decimal place, is
Ques 51 GATE 2017
Which of the following is the correct sequence of equipment for size reduction of solids?
Ques 52 GATE 2017
Size analysis was carried out on a sample of gravel. The data for mass fraction (xi) and average particle diameter (Dpi) of the fraction is given in the table below:
| xi | Dpi (mm) |
|---|---|
| 0.2 | 5 |
| 0.4 | 10 |
| 0.4 | 20 |
Total Unique Visitors