Metallurgical Engineering Gate 2019 Questions with Answer

Ques 1 GATE 2019


Consider electrodeposition of copper on a copper electrode from an aqueous solution containing 0.5 × 10⁻³ mol⋅cm⁻³ CuSO₄.
Given: Faraday constant, F = 96500 Coulomb per gram equivalent.
Assume transport of reactant is rate limiting, and mass transfer coefficient is 10⁻⁴ cm⋅s⁻¹. The limiting current density (in mA⋅cm⁻²) is _______.

A

4.83

B

9.65

C

19.30

D

38.60


(b) is the correct answer.

Ques 2 GATE 2019


100 Metric tons of copper concentrate containing 21 wt.% Cu is to be processed in 6 months with 25 working days per month and 8 working hours per day. The concentrate is leached by sulphuric acid and electrolyzed in 10 cells arranged in series. The minimum current rating (Ampere per month per cell, rounded off to the nearest integer) is _______.
Given: Faraday constant = 96500 Coulomb per gram equivalent. Atomic weight of copper is 63.


(1490) is the correct answer.

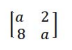
Ques 3 GATE 2019


One of the eigenvalues for the following matrix is ___________.

A

a - 4

B

-a - 4

C

4

D

-4


(a) is the correct answer.

Ques 4 GATE 2019


The curl of vector fields shown below is not zero for _______.

A

B

C

D


(d) is the correct answer.

Ques 5 GATE 2019


The smallest period of function f(x) = sin(nx / k) is _______.

A

B

k / n

C

2πk / n

D

2πn / k


(c) is the correct answer.

Ques 6 GATE 2019


The directional derivative of φ = x² + y along the unit vector û = (1 / 5)(3î + 4ĵ) at (1, 1) is _______.

A

3

B

2

C

1

D

0


(b) is the correct answer.

Ques 7 GATE 2019


The standard deviation (rounded off to one decimal place) of the following set of five numbers is _______.
6, 8, 8, 9, 9


(1.2) is the correct answer.

Ques 8 GATE 2019


A 50 cm long rod is placed against a vertical wall such that the bottom of the rod is 30 cm away from the wall. If the bottom of the rod is pulled horizontally away from the wall at 4 cm⋅s⁻¹, the top of the rod starts sliding down the wall with an instantaneous velocity (in cm⋅s⁻¹, rounded off to two decimal places) of magnitude _______.


(3.00) is the correct answer.

Ques 9 GATE 2019


The probability of solving a problem by Student A is (1 / 3) and the probability of solving the same problem by Student B is (2 / 5). The probability (rounded off to two decimal places) that at least one of the students solves the problem is _______.


(0.60) is the correct answer.

Ques 10 GATE 2019


Numerical value of work done (rounded off to the nearest integer) by a position-dependent force F⃗ = xî + 5xyĵ (where î and ĵ are unit vectors) along the path, y = x²/2 from (0, 0) to (2, 2) in the xy plane is _______.


(18) is the correct answer.

Ques 11 GATE 2019


The estimated value of the cube root of 37 (rounded off to two decimal places) obtained from the Newton-Raphson method after two iterations (x₂) is _______. [Start with an initial guess value of x₀ = 1].


(8.75) is the correct answer.

Ques 12 GATE 2019


The common ore of titanium is _______.

A

Bauxite

B

Chalcopyrite

C

Cassiterite

D

Ilmenite


(d) is the correct answer.

Ques 13 GATE 2019


Coarse suspended particles are to be separated from a flowing gas in a dust catcher. All factors remaining same, maximum gas-solid separation is expected from the dust catcher shown below.


(a) is the correct answer.

Unique Visitor Count

Total Unique Visitors

Loading......