Mechanical Engineering Gate Yearwise
Mechanical Engineering Gate 2016 Set-2 Questions with Answer
Ques 27 GATE 2016 SET-2
The binary operation ☐ is defined as a ☐ b = ab + (a+b) where a and b are any two real numbers. The value of the identity element of this operation, defined as the number x such that a ☐ x = a, for any a, is
Ques 28 GATE 2016 SET-2
Which of the following curves represents the function y = ln(|e[|sin(|x|)|]|) for |x| < 2π? Here, x represents the abscissa and y represents the ordinate.
Ques 29 GATE 2016 SET-2
A hollow cylinder has length L, inner radius r1, outer radius r2, and thermal conductivity k. The thermal resistance of the cylinder for radial conduction is
Ques 30 GATE 2016 SET-2
Consider the radiation heat exchange inside an annulus between two very long concentric cylinders. The radius of the outer cylinder is Ro and that of the inner cylinder is Ri. The radiation view factor of the outer cylinder onto itself is
Ques 31 GATE 2016 SET-2
Consider a parallel-flow heat exchanger with area Ap and a counter-flow heat exchanger with area Ac. In both the heat exchangers, the hot stream flowing at 1 kg/s cools from 80°C to 50°C. For the cold stream in both the heat exchangers, the flow rate and the inlet temperature are 2 kg/s and 10°C, respectively. The hot and cold streams in both the heat exchangers are of the same fluid. Also, both the heat exchangers have the same overall heat transfer coefficient. The ratio Ac/Ap is ________.
Ques 32 GATE 2016 SET-2
Two cylindrical shafts A and B at the same initial temperature are simultaneously placed in a furnace. The surfaces of the shafts remain at the furnace gas temperature at all times after they are introduced into the furnace. The temperature variation in the axial direction of the shafts can be assumed to be negligible. The data related to shafts A and B is given in the following Table.
| Quantity | Shaft A | Shaft B |
| Diameter (m) | 0.4 | 0.1 |
| Thermal conductivity (W/m-K) | 40 | 20 |
| Volumetric heat capacity (J/m3-K) | 2x106 | 2x107 |
The temperature at the centerline of the shaft A reaches 400°C after two hours. The time required (in hours) for the centerline of the shaft B to attain the temperature of 400°C is ________.
Ques 33 GATE 2016 SET-2
In a single-channel queuing model, the customer arrival rate is 12 per hour and the serving rate is 24 per hour. The expected time that a customer is in queue is ________ minutes.
Ques 34 GATE 2016 SET-2
A food processing company uses 25,000 kg of corn flour every year. The quantity-discount price of corn flour is provided in the table below:
| Quantity (kg) | Unit price (Rs/kg) |
| 1-749 | 70 |
| 750-1499 | 65 |
| 1500 and above | 60 |
The order processing charges are Rs. 500/order. The handling plus carry-over charge on an annual basis is 20% of the purchase price of the corn flour per kg. The optimal order quantity (in kg) is ________.
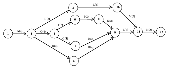
Ques 35 GATE 2016 SET-2
A project consists of 14 activities, A to N. The duration of these activities (in days) are shown in brackets on the network diagram. The latest finish time (in days) for node 10 is ________.

Ques 36 GATE 2016 SET-2
In a structural member under fatigue loading, the minimum and maximum stresses developed at the critical point are -50 MPa and 150 MPa, respectively. The endurance, yield, and the ultimate strengths of the material are 200 MPa, 300 MPa and 400 MPa, respectively. The factor of safety using modified Goodman criterion is
Ques 37 GATE 2016 SET-2
The welding process which uses a blanket of fusible granular flux is
Ques 38 GATE 2016 SET-2
The value of true strain produced in compressing a cylinder to half its original length is
Ques 39 GATE 2016 SET-2
The following data is applicable for a turning operation. The length of job is 900 mm, diameter of job is 200 mm, feed rate is 0.25 mm/rev and optimum cutting speed is 300 m/min. The machining time (in min) is ________.
Total Unique Visitors