Mechanical Engineering Gate Yearwise
Mechanical Engineering GATE 2023 Questions with Answer
Ques 1 Aptitude
The minute hand and second hand of a clock cross each other.............times between 09:15:00 AM and 09:45:00 AM on a day
Ques 2 Aptitude
Consider the following inequalities p2 – 4q < 4; 3p + 2q < 6 where p and q are positive integers. The value of (p + q).
Ques 3 Aptitude
How many pairs of sets (S,T) are possible among the subsets of {1,2,3,4,5,6} that satisfy the condition that S is the subset of T?
Ques 4 Aptitude
In a recently held parent teacher meeting, the teacher had very few complaints about Ravi. After all Ravi was a hardworking and kind student. Incidentally, almost all Ravi’s friend at school were hard working and king too. But the teacher drew attention to Ravi’s complete lack of interest in sports. The teacher believed that along with some of his friends who showed similar disinterest in sports. Ravi needed to engage in some sports for his overall development, which statement is logically correct.
Ques 5 Aptitude
Which one of the sentence sequences in the given options creates a coherent narrative? (i) I could not bring myself to knock. (ii) There was a murmur of unfamiliar voices coming from the big drawing room and the door was firmly shut. (iii) The passage was dark for a bit, but then it suddenly opened into a bright kitchen. (iv) I decided I would rather wander down the passage
Ques 6 Aptitude
Planting : Seed :: Raising : ____ (By word meaning)
Ques 7 Aptitude
He did not manage to fix the car himself, so he ............ in the garage.
Ques 8 Engineering Materials
The atomic radius of a hypothetical face-centered cubic (FCC) metal is (2/10) nm. The atomic weight of the metal is 24.092 g/mol Taking Avogadro's number to be 6.023×1023 atoms/mol, the density of the metal is _______ kg/m3.
(Answer in integer)
2500 is the correct answer.
Ques 9 Engineering Materials
A steel sample with 1.5 wt.% carbon (no other alloying elements present) is slowly cooled from 1100°C to just below the eutectoid temperature (723°C. A part of the iron-cementite phase diagram is shown in the figure. The ratio of the pro-eutectoid cementite content to the total cementite content in the microstructure that develops just below the eutectoid temperature is _______.
(Rounded off to two decimal places)

0.27 is the correct answer.
Ques 10 Engineering Materials
Ignoring the small elastic region, the true stress () – true strain () variation of a material beyond yielding follows the equation = 4000.3 MPa.
The engineering ultimate tensile strength value of this material is ________ MPa.
(Rounded off to one decimal place)
207.8 is the correct answer.
Ques 11 Engineering Mathematics
The smallest perimeter that a rectangle with area of 4 square units can have is _______ units.
(Answer in integer)
8 is the correct answer.
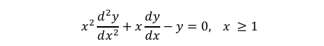
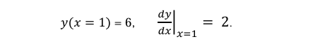
Ques 12 Engineering Mathematics
Consider the second-order linear ordinary differential equation


(Answer in integer)
11 is the correct answer.
Ques 13 Engineering Mathematics
The initial value problem
dy/dt+2y=0 , y(0)=1
is solved numerically using the forward Euler's method with a constant and positive time step of Δt.
Let yn represent the numerical solution obtained after n steps. The condition |yn+1|≤|yn| is satisfied if and only if Δt does not exceed _______.
(Answer in integer)
1 is the correct answer.

Total Unique Visitors