Mechanical Engineering Gate Yearwise
Mechanical Engineering Gate 2014 Set-3 Questions with Answer
Ques 27 GATE 2014 SET-3
The real root of the equation 5x - 2cos x - 1 = 0 (up to two decimal accuracy) is ________.
Ques 28 GATE 2014 SET-3
A drum brake is shown in the figure. The drum is rotating in anticlockwise direction. The coefficient of friction between drum and shoe is 0.2. The dimensions shown in the figure are in mm. The braking torque (in N.m) for the brake shoe is ________.

Ques 29 GATE 2014 SET-3
A mass-spring-dashpot system with mass m = 10 kg, spring constant k = 6250 N/m is excited by a harmonic excitation of 10 cos(25t) N. At the steady state, the vibration amplitude of the mass is 40 mm. The damping coefficient (c, in N.s/m) of the dashpot is ________.

Ques 30 GATE 2014 SET-3
A certain amount of an ideal gas is initially at a pressure p1 and temperature T1. First, it undergoes a constant pressure process 1-2 such that T2 = 3T1/4. Then, it undergoes a constant volume process 2-3 such that T3 = T1/2. The ratio of the final volume to the initial volume of the ideal gas is
Ques 31 GATE 2014 SET-3
An amount of 100 kW of heat is transferred through a wall in steady state. One side of the wall is maintained at 127°C and the other side at 27°C. The entropy generated (in W/K) due to the heat transfer through the wall is ________.
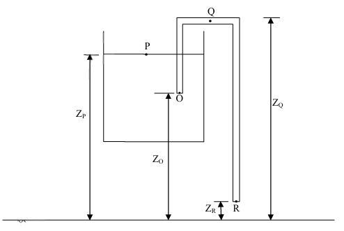
Ques 32 GATE 2014 SET-3
A siphon is used to drain water from a large tank as shown in the figure below. Assume that the level of water is maintained constant. Ignore frictional effect due to viscosity and losses at entry and exit. At the exit of the siphon, the velocity of water is

Ques 33 GATE 2014 SET-3
Heat transfer through a composite wall is shown in figure. Both the sections of the wall have equal thickness (l). The conductivity of one section is k and that of the other is 2k. The left face of the wall is at 600 K and the right face is at 300 K. The interface temperature Ti (in K) of the composite wall is ________.

Ques 34 GATE 2014 SET-3
At the inlet of an axial impulse turbine rotor, the blade linear speed is 25 m/s, the magnitude of absolute velocity is 100 m/s and the angle between them is 25°. The relative velocity and the axial component of velocity remain the same between the inlet and outlet of the blades. The blade inlet and outlet velocity triangles are shown in the figure. Assuming no losses, the specific work (in J/kg) is ________.

Ques 35 GATE 2014 SET-3
A solid sphere of radius r1 = 20 mm is placed concentrically inside a hollow sphere of radius r2 = 30 mm as shown in the figure. The view factor F21 for radiation heat transfer is

Ques 36 GATE 2014 SET-3
A double-pipe counter-flow heat exchanger transfers heat between two water streams. Tube side water at 19 liter/s is heated from 10°C to 38°C. Shell side water at 25 liter/s is entering at 46°C. Assume constant properties of water; density is 1000 kg/m3 and specific heat is 4186 J/kg.K. The LMTD (in °C) is ________.
Ques 37 GATE 2014 SET-3
A diesel engine has a compression ratio of 17 and cut-off takes place at 10% of the stroke. Assuming ratio of specific heats (γ) as 1.4, the air-standard efficiency (in percent) is ________.
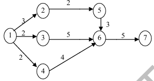
Ques 38 GATE 2014 SET-3
Consider the given project network, where numbers along various activities represent the normal time. The free float on activity 4-6 and the project duration, respectively, are

Ques 39 GATE 2014 SET-3
A manufacturer can produce 12000 bearings per day. The manufacturer received an order of 8000 bearings per day from a customer. The cost of holding a bearing in stock is Rs. 0.20 per month. Setup cost per production run is Rs. 500. Assuming 300 working days in a year, the frequency of production run should be
Total Unique Visitors