Textile Engineering Gate 2018 Questions with Answer
Ques 1 GATE 2018
If y(x) is the solution of the differential equation yy' = 8x, with the initial condition y(0) = 2, what is the absolute value of y(2)?
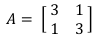
Ques 2 GATE 2018
If

Ques 3 GATE 2018
Let X be a random variable following the binomial distribution. If E(X)=2 and Var(X)=1.2, then P(X=2), accurate to three decimal places, is equal to
Ques 4 GATE 2018
The value of the integral

Ques 5 GATE 2018
Starting from the initial point x0 = 10, if the sequence {xn} is generated using the Newton-Raphson method to compute the root of the equation x4 - 600 = 0, what is x2, accurate to two decimal places?
Ques 6 GATE 2018
If

Ques 7 GATE 2018
The standard deviation of population P is two times the standard deviation of population Q. The size of a random sample from population P is four times the size of a random sample from population Q. If eP and eQ denote the standard error of the means of the samples from P and Q, respectively, what is the ratio of eP to eQ?
Ques 8 GATE 2018
For 0 ≤ x ≤ 2π, in which interval(s) are both sin x and cos x decreasing functions?
Ques 9 GATE 2018
f x² + x - 1 = 0, what is the value of x⁴ + 1/x⁴?
Ques 10 GATE 2018
Bottom shaft of a shuttle loom, weaving 2 up 1 down twill weave, is rotating at 90 rpm. The speed of cam shaft (in rpm) is
Ques 11 GATE 2018
If wale constant and course constant for knitted fabrics are 4.2 and 5.46, respectively, then the value of the loop shape factor, accurate to one decimal place, is
Ques 12 GATE 2018
Compared to filaments in spunbonded nonwovens, those in meltblown nonwovens have
P. Lower orientation of molecular chains
Q. Higher orientation of molecular chains
R. Lower variability in diameter
S. Higher variability in diameter
Ques 13 GATE 2018
Match the weave in Group I with fabric attribute in Group II.

Total Unique Visitors