Textile Engineering > GATE 2023 > Limits
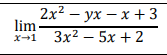
The value of y for which the following limit exists is _______.


Correct : d
Similar Questions
Inhaling the smoke from a burning _________ could _________ you quickly.
A sphere of radius π cm is packed in a box of cubical shape.
What should be the minimum volume (in cm3) of the box that can enclose the
sphere?
Pipes P and Q can fill a storage tank in full with water in 10 and 6 minutes,
respectively. Pipe R draws the water out from the storage tank at a rate of 34
l...
Total Unique Visitors
Loading......