Textile Engineering > GATE 2022 > Calculus
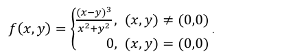
Let f:R2→R (R is the set of real numbers) be defined by
If fx(0,0) and fy denote partial derivatives of f with respect to x and y at the point (0,0), respectively, then fx(0,0) and fy(0,0), respectively, are

Correct : c
Similar Questions
limx → 0 (ex - 1)/x2 is equal to
If F=xi+yj+zk, then the magnitude of ∇ x F is _______
Let L = limx→π/2(sin x)tan x. What is the value of L?
Total Unique Visitors
Loading......