Textile Engineering > GATE 2021 > Numerical Methods
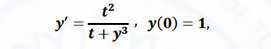
If the numerical solution of the initial value problem
is obtained by the Euler's method with step size of 0.2, then the value of y(0.4), (rounded off to two decimal places), is

Correct : 0.98 to 1.10
Similar Questions
Assuming the step size h=1, what is the numerical value of the definite integral ∫02 (x2)/(1+x3) dx obtained using the Trapezoidal rule (rounded off to 2 decima...
Which of the following is a multi-step numerical method for solving the ordinary differential equation?
The value of a for which the Euler method with step size h=0.1 provides y(1.1)=1.2 for the following initial value problem isdy/dx = -2xyα, y(1)=2
Total Unique Visitors
Loading......