Textile Engineering > GATE 2021 > Multivariable Calculus
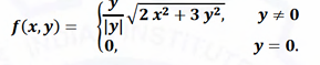
Let the function f(x,y) be defined as
Then ∂f / ∂y (0, 0) is equal to

Explanation
Correct : b
Similar Questions
What is the worst-case time complexity of insertion in an AVL tree?
Which operations on a binary search tree have O(h) complexity?
Compare search complexities of sorted array vs balanced BST.