Textile Engineering > GATE 2019 > Linear Algebra
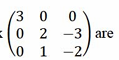
The eigenvalues of the matrix 

Correct : d
Similar Questions
The value of a, for which the following system of equations 2x+y+3z=a x+z=2 y+z=2 is consistent, is
If 3 and 6 are eigenvalues of the matrix
then the value of μ is
For the matrix
the eigenvalues of the matrix A2 are
Total Unique Visitors
Loading......