Textile Engineering > GATE 2018 > Calculus
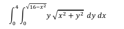
The value of the integral
is

Correct : 64
Similar Questions
Let f:R2→R (R is the set of real numbers) be defined by
If fx(0,0) and fy denote partial derivatives of f with respect to x and y at the point (0,0), respec...
limx → 0 (ex - 1)/x2 is equal to
If F=xi+yj+zk, then the magnitude of ∇ x F is _______
Total Unique Visitors
Loading......