Textile Engineering > GATE 2017 > Synthetic Fibres
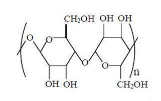
The given structure is a repeat unit of


Correct : b
Similar Questions
Assuming the atomic mass of H=1, C=12, N=14 and O=16, the molecular mass of a repeat unit of Nylon 6 fibre is
Determine the correctness or otherwise of the following Assertion [a] and Reason [r] Assertion: Draw texturing of isotactic polypropylene (POY) at a relatively...
Group I gives a list of fibres and Group II contains their applications. Match the fibre with its application.
Total Unique Visitors
Loading......