Mechanical Engineering > GATE 2022 SET-1 > Production Planning
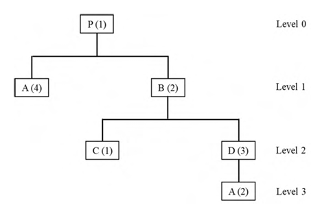
The product structure diagram shows the number of different components required at each level to produce one unit of the final product P. If there are 50 units of on-hand inventory of component A, the number of additional units of component A needed to produce 10 units of product P is _________ (in integer).


Correct : 150
Similar Questions
In Materials Requirement Planning, if the inventory holding cost is very high and the
setup cost is zero, which one of the following lot sizing approaches sho...
After playing _________ hours of tennis, I am feeling _________ tired to walk back.
The average of the monthly salaries of M, N and S is ₹ 4000. The average of the monthly salaries of N, S and P is ₹ 5000. The monthly salary of P is ₹ 6000.What...
Total Unique Visitors
Loading......