Mechanical Engineering > GATE 2022 SET-1 > Linear Algebra
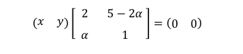
The system of linear equations in real (x, y) given by
involves a real parameter πΌ and has infinitely many non-trivial solutions for special
value(s) of πΌ. Which one or more among the following options is/are non-trivial
solution(s) of (π₯,π¦) for such special value(s) of πΌ?

Correct : a, b
Similar Questions
Let I be a 100 dimensional identity matrix and E be the set of its distinct (no value
appears more than once in E) real eigenvalues. The number of elements in...
The matrix
(where a > 0) has a negative eigenvalue if a is greater than
A linear transformation maps a point (x', y') in the plane to the point (x,y) according to the rule x'=3y y'=2x. Then, the disc x2+y2β€1. gets transformed to a r...
Total Unique Visitors
Loading......