Mechanical Engineering > GATE 2014 SET-3 > Engineering Mathematics
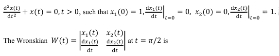
Consider two solutions x(t) = x1(t) and x(t) = x2(t) of the differential equation


Correct : a
Similar Questions
An analytic function of a complex variable z = x + iy is expressed as f(z) = u(x,y) + iv(x,y), where i = β-1 . If u(x,y) = x2 - y2, then expression for v(x,y) i...
A machine produces 0, 1 or 2 defective pieces in a day with associated probability of 1/6, 2/3 and 1/6, respectively. The mean value and the variance of the num...
The real root of the equation 5x - 2cos x - 1 = 0 (up to two decimal accuracy) is ________.
Total Unique Visitors
Loading......