
Correct : c
Similar Questions
Total Unique Visitors
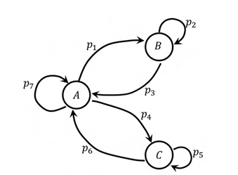
``` * **Reasoning:** This title is concise, includes the specific exam and question number (critical for searchers), mentions key concepts ("State Transition Diagram", "Probabilities"), and incorporates the brand name for recognition. **2. Meta Description:** ```html ``` * **Reasoning:** This description clearly states the content, includes important keywords like "state transition diagram," "transition probabilities," "universally true statements," and "Markov chain principles." It targets users looking for the specific GATE question's solution and explains what the user will find. It also subtly references "Option A" as the correct one, aligning with typical solution expectations. **3. Meta Keywords:** ```html ``` * **Reasoning:** This comprehensive list includes broad and specific terms users might search for. It covers the exam, year, question ID, core concepts, specific variables mentioned in the problem, and general related fields.

Correct : c
Total Unique Visitors