EC > GATE 2014 SET-4 > Fourier Transform
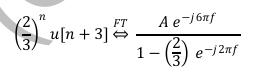
A Fourier transform pair is given by<
where u[n] denotes the unit step sequence. The values of A is _________.

Correct : 3.37
Similar Questions
Consider two continuous time signals x(t) and y(t) as shown below.
If X(f) denotes the Fourier transform of x(t), then the Fourier transform of y(t) is
The Fourier transform X(ω) of x(t) = e-t2 is Note: ∫∞-∞e-y2dy = √π
Consider a continuous-time, real-valued signal f(t) whose Fourier transform F(ω)=∫-∞∞f(t)exp(-jωt) dt exists.Which one of the follow...
Total Unique Visitors
Loading......