Chemical Engineering > GATE 2022 > Chemical Processes
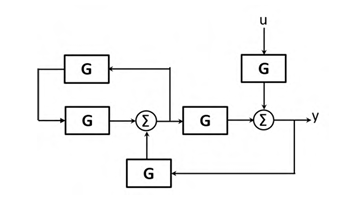
In the block diagram shown in the figure, the transfer function G = K⁄(τs + 1) with K > 0 and τ > 0. The maximum value of K below which the system remains stable is __________ (rounded off to two decimal places).

Explanation
Correct : c
Similar Questions
What is the worst-case time complexity of insertion in an AVL tree?
Which operations on a binary search tree have O(h) complexity?
Compare search complexities of sorted array vs balanced BST.