Chemical Engineering > GATE 2014 > Control System Response
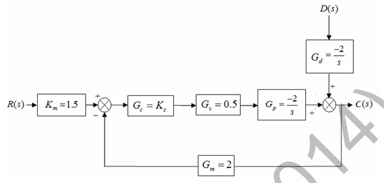
Consider the following block diagram for a closed-loop feedback control system
A proportional controller is being used with Kc=-4. If a step change in disturbance of magnitude 2 affects the system, then the value of the offset is

Correct : 0.5
Similar Questions
Consider the following closed loop system with Gp and Gc as the transfer functions of the process and the controller, respectively.
For a unit step change i...
Inhaling the smoke from a burning _________ could _________ you quickly.
A sphere of radius π cm is packed in a box of cubical shape.
What should be the minimum volume (in cm3 ) of the box that can enclose the
sphere?
Total Unique Visitors
Loading......