Chemical Engineering > GATE 2011 > Fluidization
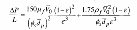
For a liquid flowing through a packed bed, the pressure drop per unit length of the bed
ΔP / L is
Where:
V̅0 is the superficial liquid velocity
ε is the bed porosity
dp is average particle size
ϕs is particle sphericity
ρf is liquid density
μf is liquid viscosity
On further increasing ‾V0 incipient fluidisation is achieved. Assuming that the porosity of the bed remains unaltered, the pressure drop per unit length (in Pa/m) under incipient fluidisation condition is

ε is the bed porosity
dp is average particle size
ϕs is particle sphericity
ρf is liquid density
μf is liquid viscosity
On further increasing ‾V0 incipient fluidisation is achieved. Assuming that the porosity of the bed remains unaltered, the pressure drop per unit length (in Pa/m) under incipient fluidisation condition is
Correct : b
Similar Questions
For a packed-bed comprising of uniform-sized spherical particles of diameter 𝐷p,
the pressure drop across the bed is given by the Kozeny-Carman equation when...
A cylindrical packed bed of height 1 m is filled with equal sized spherical particles. The particles are nonporous and have a density of 1500 kg/m³. The void fr...
Seawater is passed through a column containing a bed of resin beads.Density of seawater =1025 kg m-3Density of resin beads =1330 kg m-3Diameter of resin beads =...
Total Unique Visitors
Loading......